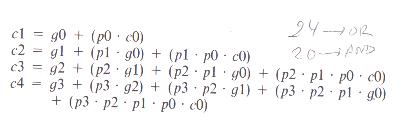
ALU CON ANTICIPACIÓN DE ARRASTRE
LA ALU QUE NOSOTROS TENIAMOS DE LA BIBLIOTECA SLCD++ TENÍA QUE IR OBTENIENDO LOS BITS DE ACARREO DE FORMA SECUENCIAL, DANDO LUGAR A UN RETRASO EN OCASIONES EXCESIVAMENTE ALTO. POR ELLO HE IMPLEMENTADO UNA ALU CON ANTICIPACIÓN DE ARRASTRE DE FORMA QUE ANTES DE EMPEZAR A CALCULAR EL RESULTADO YA CONOCERÉ LOS BITS DE ACARREO, REDUCIENDO UNOS 60 CICLOS EN EL PEOR DE LOS CASOS CON RESPECTO A LA ANTERIOR.
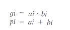
DICHA IMPLEMENTACIÓN SE BASA EN LAS SIGUIENTES FORMULAS:

ASI SUCESIVAMENTE PARA LOS 31 BITS, Y DONDE ai Y bi SON LOS BITS DE LOS OPERANDOS. gi RECIBE EL NOMBRE DE BITS GENEREADORES Y pi DE BITS PROPAGADORES.